Химические классы пестицидов
Оглавление
Химические и физические свойства
Бензофуран – первое соединение данного ряда химических веществ. При присоединении бензольного кольца в положение 2,3 ядра фурана образуется бензофуран (= кумарон, = 2,3-бензофуран, = 1-бензофуран). («Фуран. Бензофуран. Дибензофуран», соединение 2)
При присоединении бензольного кольца в положение 3,4 образуется изобензофуран или изокумарин[7].
Бензофураны рассматривают как производные фурана с конденсированными ядрами. Значительное место в химии фурана занимают дибензофураны[6]. («Фуран. Бензофуран. Дибензофуран», соединение 3)
Все производные соединения 2,3-бензофуран отнесены к бензофурану[7].
2,3-Бензофуран – типичное ароматическое соединение, устойчив к действию кислот и окислителей. Реакции электрофильного замещения протекают так же, как и для фурана, но отмечаются некоторые особенности, связанные со стабилизирующим влиянием бензольного ядра на фурановый цикл. Бензольное ядро служит в данном случае электроакцепторной системой, как бы втягивающей в себя электроны фуранового кольца. Это приводит к «обеднению» его электронами и затруднению реакций электрофильного замещения в фурановом цикле. Однозначно определить место вступления электрофильного заместителя в молекулу фурана в данном случае трудно[6].

1. Фуран C4H4O номер CAS 110-00-9
2. Бензофуран C8H6O номер CAS 271-89-6
3. Дибензофуран C12H8O номер CAS 132-64-9[8]
Обширный экспериментальный материал позволяет прийти к выводу, что в 2,3-бензофуране электрофильное замещение наблюдается в первую очередь в положениях 2 и 3 фуранового кольца. Если данные положения заняты, то – в положении 5 бензольного кольца. Однако при воздействии сильного электрофильного реагента замещение функциональной группы происходит и в занятом положении 2 фуранового кольца[6]. Отмечается, что в системе бензофурана, фурановое кольцо обладает большей реакционной способностью, чем бензольное. 2,3-бензофуран сохраняет свойства диеновых соединений[6].
Бензофуран реагирует с хлором и бромом. Присоединения брома при нагревании или обработке спиртовым раствором едкого кали дает в 2- и 3-бромбензофураны. Однако с малеиновым ангидридом 2,3-бензофуран уже не дает аддукта[6].
Бензофуран встречается в каменноугольной смоле. Большое количество его производных обнаружено в соединениях, выделяемых из растений[7].
Классы химических соединений, по механизму гербицидного действия – ингибиторы синтеза жирных кислот с очень длинной цепью (группа 15 (К3) по классификации WSSA и HRAC):
- α-оксиацетамиды (α-оxyacetamides);
- α-хлорацетамиды (α-chloroacetamides);
- азолил-карбоксамиды (azolyl-carboxamides);
- бензофураны (benzofurans);
- изоксазолины (isoxazolines);
- оксираны (oxiranes);
- тиокарбаматы (thiocarbamates).
Действие на организмы
Бензофуран практически не проявляет биологической активности, но его различные производные обладают разнообразными ее видами[4].
Гербициды
В настоящее время в сфере защиты растений в качестве действующих веществ гербицидов используются этофумезат (разрешен к применению на территории России) и бенфурезат (разрешен к применению во многих странах мира)[9].
Механизм действия. По классификации HRAC (Herbicide Resistance Action Comittee/Комитет по борьбе с устойчивостью к гербицидам) и WSSA (Weed Science Society of America/Американское научное общество по борьбе с сорняками) этофумезат и бенфурезат относятся к химическому классу бензофураны. По механизму действия – к группе 15 (Ингибирование синтеза жирных кислот с очень длинной цепью/ Inhibition of very long-chain fatty acid synthesis[9].) К этой же группе относятся α-хлорацетамиды (α-chloroacetamides) (= хлорацетанилиды), азолилкарбоксамиды (azolyl-carboxamides), изоксазолины (isoxazolines), оксираны (oxiranes), тиокарбаматы (thiocarbamates)[9].
После поступления в растения бензофураны перемещаются к местам наиболее активного роста – меристематическим тканям[3]. Нарушение синтеза жирных кислот происходит путем ингибирования ацетил-коэнзима А карбоксилазы (ацетил-КоА карбоксилаза, КФ 6.4.1.2). Данный фермент ответственен за первую стадию биосинтеза жирных кислот (синтез малонил коэнзима А из ацетил коэнзима А). Нарушение биосинтеза жирных кислот, являющихся структурным компонентом жиров играющих определяющую роль в структуре и функционировании растительных мембран приводит к угнетению чувствительных растений[3].
Бензофураны, ингибирующие синтез жиров, предназначены для применения по вегетирующим частям растений. Это объясняется тем, что такие вещества способны перемещаться только по симпласту с флоэмным потоком и почвенной активностью практически не обладают[3].
Симптомы повреждения
. Рост растения прекращается практически сразу, симптомы повреждения появляются через несколько дней после применения препаратов. Это может быть хлороз новых листьев, а затем некроз. Гибель растений наблюдается через 10–14 дней[3].Подавляемые сорные растения
. Бензофураны являются перспективными действующими веществами высокотоксичных гербицидов высокоселективного действия против многолетних и однолетних злаков. Двудольные сорняки и культурные растения устойчивы к веществам данного класса. Отдельные газонные травы и культурные злаковые обладают относительной устойчивостью к ним[3].Резистентность
. Случаев возникновения резистентных биотопов не установлено[9].Профилактика резистентности
. Профилактические меры, такие же как и для веществ класса α-хлорацетамиды (α-chloroacetamides) (= хлорацетанилиды).Фунгициды
Производные бензофурана, принадлежащие к группе арилбензофураны (содержащие арильный радикал в фурановом кольце), обнаруживают заметную фунгицидную активность. Такая же биологическая активность свойственна галоген- и нитропроизводным бензофурана[4].
Инсектициды
В качестве действующих веществ инсектицидов и нематоцидов возможно использование производных 2,3-дигидро-7-гидрокси-2,2-диметилбензофурана. Из них наиболее эффективен гетероциклический эфир N-метилкарбаминовой кислоты (карбофуран)[4]. В классификации IRAC карбофуран рассматривается в пределах химического класса карбаматы[10].
Подробнее – в статье «Карбофуран».
По классификации механизмов действия соединений с инсектицидной активностью IRAC (Комитет по борьбе с устойчивостью к инсектицидам / Insecticide Resistance Action Committee) карбофуран – ингибитор ацетилхолинэстеразы (АХЭ) (Группа 1)[10].
К первой группе относятся еще 26 соединений класса карбаматы и 66 соединений класса фосфорорганические соединения (ФОС)[10].
Подробнее о механизме действия карбофурана и других карбаматов – в статье «Карбаматы», раздел «Инсектициды».
Применение
Бензофураны, как и прочие фурановые производные широко используются в нефтеперерабатывающей и пищевой промышленности. Бензофуран является исходным материалом для производства кумароно-инденовых смол[6].
В сфере защиты растений производные бензофурана используют как действующие вещества различных пестицидов (фунгицидов, инсектицидов, гербицидов). В частности, на территории Росси разрешены к применению гербициды, действующим веществом которых является этофумезат и инсектициды с действующим веществом карбофуран[4].

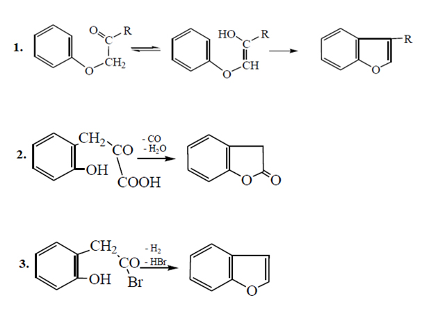
1. Замыкание по связи С3 – С4.
2. Циклизация ароматических кислот
3. Циклизация ω-бромалкилпроизводных фенолов[6]
Получение
Бензофуран встречается в каменноугольной смоле во фракции с температурой кипения 168–175ºС. Существуют различные методы для отделения его от других соединений данной фракции. По удалению продуктов кислого и основного характера бензофуран, его подвергают бромированию и выделяют как бромпроизводное. Восстановление последнего приводит к получению бензофурана[7].
Синтезы простых производных бензофурана включают стадию замыкания фуранового цикла[7]. Например, 2,3-бензофуранможно получить и замыканием по связи С3–С4 производных эфиров фенолов в присутствии ZnС12 или Р2О5[6].
2,3-бензофуран и его производные получаются из ароматических оксикислот или ω-бромалкилпроизводных фенолов. Их циклизация происходит самопроизвольно, либо при нагревании, либо при воздействии щелочи[6].
Токсикологические свойства и характеристики
Производные бензофурана (бензофураны) составляют класс разноплановых в токсикологическом плане соединений[4].
Вещества, разрешенные к использованию на территории России в качестве действующих веществ гербицидов, в частности этофумезат, относятся к умеренно опасным веществам по отношению к человеку и малоопасным – по отношению к пчелам.
Отмечается, что этофумезат характеризуется плохой растворимостью в воде и небольшим временим существования в окружающей среде и относится к гербицидам с низким потенциалом выщелачивания и с этой точки зрения не представляет опасность для окружающей среды[3].
Подробнее о токсикологических свойствах представителей данного химического класа – в статьях «Карбофуран» и «Этофумезат».
2. Дорожкина Л.А. Применение гербицидов и регуляторов роста в защите растений: учебное пособие / Л.А. Дорожкина, Л.М. Поддымкина. – М.: МЭСХ, 2021. – 206 с.
3. Куликова Н.А., Лебедева Г. Ф. Гербициды и экологические аспекты их применения: Учебное пособие. М.: Книжный дом «ЛИБРОКОМ», 2010. — 152 с.
4. Мельников Н.Н. Пестициды. Химия, технология и применение. - М.: Химия, 1987. 712 с.
5. Методические указания по регистрационным испытаниям гербицидов, в сельском хозяйстве 2013 г. СПб (утверждены Минсельхозом России). УПДК 632.96, СПб. 2013. 280 с.
6. Рахимов А.И. Пятичленные ароматические гетероциклические соединения: учеб. пособие/ А.И. Рахимов, А.В. Мирошниченко/ ВолгГТУ.- Волгоград, 2010. – 150 с.
7. Эльдерфилд Р. (ред.) Гетероциклические соединения. Том 2 Перевод с англ. под ред. Ю. К. Юрьева. М.: Изд-во иностранной литературы, 1954. – 438 с.
8. Pubchem.ncbi.nlm.nih.gov
10. Irac-online.org.



