Химические классы пестицидов
Оглавление
- Химические и физические свойства
- Действие на организмы
- Смешанные эфиры сернистой кислоты
- Аркилхлорэтил сульфиты
- 3-хлорпропильный или дихлорпропильный остатки
- Циклические эфиры сернистой кислоты
- Применение
- Токсикологические свойства и характеристики
- Получение
- Симметричные сульфиты
- Несимметричные сульфиты
- Превращение спиртов
- Другие реакции
Химические и физические свойства
Органические сульфиты – это производные органических веществ и сернистой кислоты (H₂SO₃).
Различают:
Монозамещенные эфиры – неустойчивы, но их соли стабильны (Общие формулы органических сульфитов. Формула 2).
Алкилхлорсульфиты – термически нестабильны и при нагревании разлагаются на алкилхлорид и диоксид серы (Общие формулы органических сульфитов. Формула 3).
Аминосульфиты (Общие формулы органических сульфитов. Формула 4).
Тиосульфиты (Общие формулы органических сульфитов. Формула 5).
Дитиолсульфиты (Общие формулы органических сульфитов. Формула 6).

1. Общая структура сульфитов.
2. Монозамещенные эфиры.
3. Алкилхлорсульфиты.
4. Аминосульфиты.
5. Тиосульфиты.
6. Дитиолсульфиты[1].
Органические сульфиты и их производные легко гидролизуются. Атом серы в этих соединениях чрезвычайно электрофилен и чувствителен к нуклеофильной атаке и гидролиз происходит с разрывом связи сера – кислород[1].
Низшие диалкилсульфиты (диметил- и диэтилсульфиты) можно нагревать до температуры кипения. При этом не происходит заметного разложения, но более высокомолекулярные сульфиты с более высокими значениями температуры кипения разлагаются при нагревании в основном с образованием алкенов[1].
Органические сульфиты реагируют с нуклеофилами с образованием продуктов, образующихся в результате атаки по атомам углерода и серы[1].
Органические сульфиты используют для синтеза эфиров карбоновых кислот, для образования пептидной связи. Диметилсульфит служит алкирующим агентом[1].
Органические сульфиты окисляются перманганатом (KMnO4) в сульфаты. Окисление пероксикислотами (кислоты, содержащие кислотную группу –OOH) не приводит к образованию каких-либо полезных продуктов. При действии хлора на сульфиты разрывается связь сера – кислород, что приводит к образованию алкилхлорсульфоната и алкилхлорида с одновременным окисление серы (IV) до серы (VI)[1].
При разложении хлорсульфитов образуется алкилхлорид и диоксид серы. Направленность таких реакций зависит от условий их проведения[1].

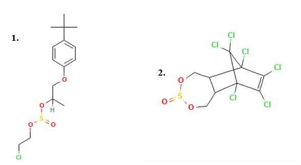
1. Арамит (C15H23ClO4S) номер CAS 140-57-8
2. Эндосульфан (C9H6Cl6O3S) номер CAS 115-29-7[4]
Действие на организмы
Органические сульфиты – обширная группа разноплановых веществ. Наиболее изучены фунгицидные, гербицидные и инсектицидные свойства органических эфиров сернистой кислоты[3].
Смешанные эфиры сернистой кислоты
характеризуются акарицидной активностью. У смешанных диалкиловых эфиров акарицидная активность возрастает по мере увеличения углеродной цепи одного из алкильных радикалов. При этом максимальная активность наблюдается у соединений с двенадцатью атомами углерода в цепи. При увеличении атомов углерода акарицидная активность снижается. Изменение акарицидных свойсв наблюдается и при модификации второго алкильного радикала[3].Аркилхлорэтил сульфиты
характеризуются акарицидным действием. Наиболее активны соединения с алкильным остатком С9 – С12. Увеличение числа атомов хлора в этильном остатке приводит к снижению акарицидной активности[3].3-хлорпропильный или дихлорпропильный остатки
. Удовлетворительной акарицидной активностью обладают соединения, содержащие 3-хлорпропильный или дихлорпропильный остатки. Особенно активны 2-хлорэтил (арилоксипропил) сульфиты. Из них наибольшей активностью отличаются трет-бутилфенилоксипропилсульфиты и их ближайшие гомологи. Из этой группы соединений для борьбы с растительноядными клещами применяют пропаргит.Механизм действия пропаргита – ингибитор митохондриальной АТФ-синтазы (группа 12 по классификации IRAC). Подробнее о механизме действия, свойствах пропаргита и резистентности к нему – в статье «Пропаргит».
К этой же группе относят и аримит (2-хлорэтил 2-[4-(1,1-диметилэтил)фенокси]-1-метилэтил сульфит). Но в настоящее время выпуск сельскохозяйственных препаратов с действующим веществом арамит прекращен, поскольку он определен как канцероген[3].
Циклические эфиры сернистой кислоты
обладают более универсальным действием. Так эндосульфан (1,4,5,6,7,7-гексахлор-8,9,10-тринорборн-5-ен-2,3-иленебисметиленсульфит) проявляет инсектицидную активность к более широкому спектру вредителей, чем пропаргит[3]. При высокой острой токсичности, его хроническая токсичность для млекопитающих ниже, чем у других веществ диенового синтеза на основе гексахлорциклопентадиена. Для повышения акарицидных свойств его предложено совмещать с фосфорорганическими инсектицидами[3].Применение
Органические сульфиты – широко используемые вещества. Они находят активное применение в косметологии, виноделии, фармокологии и других отраслях производства, непосредственно связанных с химией органических веществ[1].
В сфере защиты растений органические сульфиты используют в качестве действующих веществ пестицидов, чаще инсектицидов и акарицидов. В настоящее время на территории Росси разрешено использование инсектицидно-акарицидных препаратов с действующим веществом пропаргит[2].
Токсикологические свойства и характеристики
Органические сульфиты обширная группа химических веществ с различной степенью экотоксикологической опасности. В сфере защиты растений разрешены к применению препараты, содержащие пропаргит. Он относится к высокоопасным веществам по отношению к человеку и малоопасным по отношению к пчелам. Использование таких препаратов требует неукоснительного соблюдения мер безопасности[2].
Подробнее о токсикологических свойствах пропаргита – в статье «Пропаргит».
Получение
Соли монозамещенных сульфитов получают путем обработки алкоксидов или феноксидов диоксидом серы, а при последующей обработке полученных веществ диазометаном получают метиловые эфиры[1].
Симметричные сульфиты
(R=R1) получаются при реакции спиртов и фенолов с тионилхлоридом SOCl2 (хлорангидрид сернистой кислоты). При реакции с фенолами необходимо присутствие третичных аминов N(CH3)3. Их же используют и в реакции со спиртами. Этим же методом получают циклические эфиры сульфитов. В частности, при обработке пирокатехина (двухатомный фенол, имеющий химическую формулу С6Н4(ОН)2) пиридином (шестичленный ароматический гетероцикл с одним атомом азота, статья «Пиридины»), и тионилхлоридом (SOCl2) образуется циклический сульфит[1].Несимметричные сульфиты
получают при взаимодействии хлорсульфитов и соответствующих гидроксисоединений и пиридина. Присутствие последнего необходимо для предотвращения образования симметричных сульфитов[1].Превращение спиртов
. Спирты могут превращаться в диалкилсульфиты под действием йода и диоксида серы в пиридине. (реактив К. Фишера)[1].Другие реакции
:- Реакция ортоэфиров с тионилхлоридом (SOCl2) или диоксидом серы образуют диалкилсульфиты[1].
- При действии на спирты диаметилсульфита наблюдается реакция переэтерификации[1].
- Арилсульфиты и первичные алкилхлорсульфиты получают при реакции гидрооксисоединений (содержащие одну или более гидроксильных групп –ОН, связанных с углеводородным радикалом) с тионилхлоридом (SOCl2)[1].
- Для получения вторичных алкилхлорсульфитов используют реакцию диалкилсульфита с тионилхлоридом (SOCl2)[1].
- Эпоксиды под действием тионилхлорида (SOCl2) превращаются в диалкилсульфиты, но возможно образование и хлорсульфитов[1].
2. Государственный каталог пестицидов и агрохимикатов, разрешенных к применению на территории Российской Федерации, 2023 год. Министерство сельского хозяйства Российской Федерации (Минсельхоз России)
3. Мельников Н.Н. Пестициды. Химия, технология и применение. - М.: Химия, 1987. 712 с.



